Neuroanatomia şi neurofiziologia sunt prin propria natură domenii tridimensionale. Proiecţiile neuronale ale celulelor corpului - axonii şi dendritele - pot interconecta un număr mare de neuroni distribuiţi pe distanţe corticale mari.
Înregistrarea semnalelor neuronale este esenţială pentru înţelegerea relaţiei dintre structura şi funcţia creierului. Deoarece creierul procesează tipuri variate de informaţii în acest spaţiu structurat tridimensional printre care şi informaţie somatică, senzorială, conceptuală, este indispensabilă: (1) vizualizarea structurilor neuronale şi (2) stimularea şi înregistrarea semnale neuronale.
Deşi au fost utilizate imaginile şi fotostimularea 3D folosind scanarea sau metode de excitare paralelă, acestea nu au fost anterior combinate în cadrul unui sistem optic care să poată decupla cu succes planurile optice corespunzătoare atunci când se utilizează un obiectiv unic - o deficienţă care a forţat anchetatorii să se limiteze la zone mici neuronale. Cu toate acestea, pentru a depăşi aceste deficite oamenii de ştiinţă de la Universitatea Paris Descartes au combinat recent stimularea holografică digitală cu un singur foton cu imagistică funcţională cu epifluorescenţă bazată pe focalizare de la distanţă.

Focalizare de la distanţă şi holografie digitală. Cu mov, holografie digitală. Cu albastru, epifluorescenţă. Cu verde, focalizare de la distanţă, generând o imagine fixă a eşantionului (linia continuă), prin imaginarea planului pupilei O1 (obiectivul 1) în cel al O2 (obiectivul 2) (linia punctată). S, proba; P, polarizare fascicul intercalat; λ / 4, placa lungime de undă trimestru, MR, reflexia distală; SLM, modulator de lumină spaţială. (Introduceri) formarea imaginii de la distanţă (IMG), şi a imaginii reflectate ("Activ, roşu), după translaţia axială (de sus) sau de înclinare (Bottom) a imaginii reflectate.
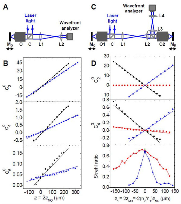
Caracterizarea abaterilor sferice şi de defocalizare în cadrul configurării de la distanţă. (A) Configurarea optică folosită pentru caracterizarea abaterilor Z-dependente introduse de către un singur obiectiv (O1 sau O2). MO, reflexia obiectului în spaţiu, L1, L2 lentilele acromatice, C, cub separator de fascicule 50/50. (B) coeficienţii Zernike (de sus în jos), defocalizare (C02), abateri sferice de ordinul întâi (C04), şi abateri sferice de ordinul 2 (C06) măsurate printr-o configurare de tip A, date experimentale (triunghiurile albastre şi pătratele negre, pentru O1 şi respectiv O2) au fost în concordanţă cu previziunile teoretice (liniile albastre şi negre, pentru O1 şi O2, respectiv (C). Apoi, s-a renunţat la defocalizare (superior, cercurile roşii), prin deplasarea simultană a OM şi RM
Cercetătorii Francesca Anselmi şi Cathie Ventalon din Grupul de Microscopie Inginerică Emiliani Wavefront condus de Dr. Valentina Emiliani, împreună cu Aurélien Bègue şi David Ogden, lucrează la intersecţia a două domenii: fizică şi biologie. Ca atare, au întâmpinat mai multe provocări în proiectarea şi efectuarea demonstraţiilor experimentale.
"Caracterizarea experimentală a sistemului de focalizare de la distanţă necesită o analiză foarte precisă a modificărilor optice prezente", spune Emiliani. Din punct de vedere practic, o configurare precisă este vitală. "Am folosit un analizor de undă pentru a estima modificările optice din diferite puncte aflate de-a lungul fascicolului de lumină, care ne-a ajutat la optimizarea sistemului de aliniere. Am fost, de asemenea, foarte atenţi la alegerea elementelor optice "De exemplu, echipa a substituit oglinzile dicroice (utilizate pentru a separa reflexia de lumină fluorescentă), cu unele mai groase (5 mm), urmărind reducerea astigmatismului.
Progresul unei noi tehnologii în neuroştiinţă ridică problema garantării stabilităţii necesare operării cu o instalație aflată în curs de dezvoltare. Ei au încercat, prin urmare, standardizarea tuturor operaţiunilor tehnice într-o cât mai mare măsură cu scopul de a obţine condiţii extrem de reproductibile. "Calibrarea microscopului a fost verificată în fiecare zi înainte de începerea experimentului". Emiliani remarcă: "Condiţiile optime de stimulare au fost determinate la începutul unei serii experimentale - adesea prin efectuarea unor experimente de verificare într-un mediu mai convenţional dotat cu echipamente de electrofiziologie pentru a măsura în mod direct producţia de energie electrică a neuronilor. S-a recurs de asemenea la utilizarea unui indicator fluorescent pentru neuroni. Fluxul de neuroni cu indicator fluorescent a existat de asemenea, în cadrul configuraţiei electrofiziologice imediat înainte de începutul fiecărui experiment optic "Având în vedere aceste aspecte practice ziua de lucru era în general una lungă şi istovitoare şi a necesitat adesea participarea mai multor persoane pentru buna desfăşurare a experimentelor.
Aşa cum era de aşteptat, echipa a trebuit să dezvolte şi să dispună de o serie de perspective, mijloace de valorificare şi tehnici pentru a răspunde acestor provocări. Pentru a realiza fotostimularea independentă şi imagini 3D, echipa a combinat două tehnici: holografia digitală şi focalizarea de la distanţă. Holografia digitală este o tehnică de structurare a luminii, care le permite să introducă mai multe zone de reflexie în acelaşi timp în imagini 3D. În holografia digitală, lumina laser utilizată pentru reflexie este cuplată la microscop, prin obiectivul principal, concentrându-se în timp ce focalizarea de la distanţă permite recrearea unei imagini a eşantionului biologic într-o zonă mai izolată datorită utilizării unui al doilea microscop, simetric cu instrumentul principal. "Selecţia planului imagistic se face prin intermediul acestui al doilea microscop" explică Emiliani fiind astfel complet independentă de fotostimulare. Lumina albastră este utilizată pentru iluminarea uniformă a eşantionului şi pentru a stimula fluorescenţa. O imagine perfect fluorescentă a eşantionului este creată prin intermediul microscopului cu focalizare de la distanţă. Ulterior, pentru a selecta planul imaginii finale prin această imagine este deplasată o reflexie pe măsură ce lumina este reflectată înspre aparatul de fotografiat. "

Un aspect cheie al acestei configurări este obţinerea unei imagini oblice, lucru posibil dacă reflexia de la distanţă este înclinată şi nu descifrată în plan axial: În acest fel, planul imaginii finale pe cameră va fi înclinat faţă de suprafaţa eşantionului şi gradul de înclinare va putea fi reglat pentru a urmări morfologia structurii vizate. În consecinţă, imaginile efectuate de-a lungul unui plan înclinat se efectuează în cadrul unui proces extins în care scanarea este implicată mai puţin.
Emiliani consideră implementarea sistemului său de fotoactivare şi imagistică ca reprezentând o inovaţie importantă menită să îmbunătăţească capacitatea de secţionare optică. Această metodă de imagistică reprezintă în prezent un standard al cercetării în neuroştiinţe şi permite îmbunătăţirea preciziei spaţiale a imaginilor şi a fotostimulării până la scale submicrometrice (de exemplu, comparabilă cu dimensiunea structurilor subcelulare, cum ar fi terminaţiile dendritice) şi penetrarea excitaţiei în ţesuturile vii. "Atât sistemul de focalizare de la distanţă cât şi sistemul de fotostimulare prin holografie digitală au fost puse în aplicare separat pentru stimularea cu doi fotoni, astfel încât această evoluţie a configuraţiei noastre combinate să permită realizarea de imagini simultan şi fotostimularea ţesutului cerebral cu precizie crescută."
Un alt punct important, adaugă ea, ar fi transformarea prototipului optic într-o configurare standard care să poată fi utilizată de către biologi. "În acest sens, îmbinarea tehnicii noastre cu electrofiziologia ar fi de o reală valoare pentru a permite în acelaşi timp înregistrarea optică şi electrică a activităţii neuronale."
"Mai mult, am dori să utilizăm sistemul nostru pentru a înregistra semnale neuronale optice şi electrice", conchide Emiliani. Deşi acest lucru este posibil datorită utilizării substanţelor de contrast pentru imagistica funcţională, utilizarea acestor substanţe de contrast este uneori problematică din punct de vedere tehnic. "Noi credem că tehnica noastră ar permite creşterea vitezei prin faptul că nu implică scanare şi a eficienţei datorită posibilităţii de înregistrare spaţială a semnalului acestor înregistrări."
Rezultatele echipei implică o serie de cercetări în domeniul neroanatomic, neuromolecular şi neurofiziologic. "Posibilitatea imagisticii fără scanare de-a lungul unui plan înclinat va fi importantă pentru a efectuarea rapidă a imagisticii funcţionale a activităţii neuronale pe zone mari şi ne putem imagina câteva avantaje", subliniază Emiliani. "Până acum, imagistica fără scanare pe suprafeţe mari a fost limitată la structurile situate pe planul focal al obiectivului microscopului. Sistemul nostru permite urmărirea morfologiei unei structuri neuronale extinse în ţesut, extinzând astfel gama de structuri accesibile pentru imagistica funcţională". Dovezile obţinute prin intermediul principiului experimentelor indică faptul că această configuraţie flexibilă permite înregistrarea de informaţii precise cu privire la sintetizarea dendritică, mai exact a mecanismelor prin intermediul cărora neuronii mecanismele cu care neuronii procesează şi elaborează informaţii. "Dezvoltarea cunoştinţelor noastre în acest sens ar putea ajuta la înţelegerea modului în care funcţionează unităţile celulare de bază ale creierului."
Posibilitatea de a combina imagini funcţionale cu fotostimularea în cadrul aceleaşi configuraţii, de asemenea, oferă posibilitatea de a monitoriza şi totodată de a modula activitatea neuronală. "Important este faptul că suntem capabili să accesăm structuri 3D. Acest lucru va permite efectuarea unor experimente de cauzalitate prin perturbarea activităţii normale a neuronilor şi observarea reacţiei sistemului. Natura complet optică a tehnicii noastre permite reducerea invazivităţii procesului care este esenţială pentru a lucra în condiţii fiziologice. "
În cadrul lucrării, cercetătorii şi-au concentrat atenţia asupra studiului proprietăţilor dendritice, având în vedere importanţa acestui domeniu de cercetare pentru Neuroştiinţă. Cu toate acestea, Emiliani subliniază faptul că modelul de configurare pentru fotostimulare şi imagistică ar putea fi de asemenea utilizat pentru a studia circuitele neuronale. "Fotostimularea prin holografie digitală ne permite stimularea sau inhibarea activităţii mai multor neuronilor în mod simultan în 3D. În acelaşi timp, sistemul de focalizare de la distanţă ar putea fi folosit pentru a înregistra răspunsurile funcţionale din aceeaşi neuroni sau de la neuroni diferiţi în circuit. Pot fi imaginate experimente de cauzalitate atunci când este perturbată activitatea neuronilor specifici, iar consecinţele sunt observate în cadrul circuitului". Din nou., acest lucru ar putea fi realizat cu minim de invazivitate datorită utilizării luminii atât pentru stimulare cât şi pentru înregistrare.
O altă posibilitate este trecerea la un model ″in silico″. "Studii experimentale privind integrarea dendritică sunt adesea combinate în modele ″in silico″ de funcţionare a neuronilor", remarcă Emiliani. "În acest sens, sistemul nostru ar putea ajuta la colectarea de noi seturi de informaţii - în special, privind proprietăţile morfologice şi funcţionale dendritice - care ar putea aduce o contribuţie importantă pentru modele de computere."
În ceea ce priveşte utilizarea în cadrul studiului a proprietăţilor dendritice demonstrate în cadrul experimentelor şi studiului asociat legat de conectivitatea funcţională a circuitelor neuronale. Punerea în aplicare a acestor configuraţii pentru reflexia cu doi fotoni discutată mai sus, ar îmbunătăţi performanţa oricăror din aceste două domenii, prin stimularea cu precizie spaţială crescută, prin rezoluţia imaginii şi prin direcţionarea volumelor mai mari prin penetrarea mai profundă a luminii în ţesutul cerebral, subliniază Emiliani.
Traducere după brain-scanning-simultaneous-high-resolution-3d
Traducerea: Ecaterina Pavel
