Dacă traversezi o noapte cu lună plină, conform mai multor studii ştiinţifice asta înseamnă că există o probabilitate mult mai mare să fii victima unui infracţiuni sau să fii implicat într-un accident. Oare chiar aşa stau lucrurile în realitate?
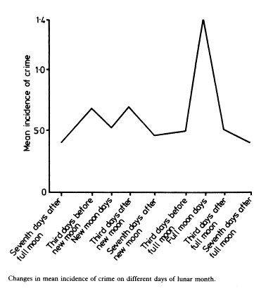
Am crezut întotdeauna că ideea că luna plină coincide cu o creştere a „ciudăţeniei” umane este doar o legendă urbană. Dar unii oameni de ştiinţă cred că există dovezi factuale (vezi graficul de mai jos) în sprijinul ipotezei că în aceste zile „vârcolăceşti” comportamentul uman ia o turnură negativă.

Cercetătorii indieni din domeniul medical C.P. Thakur şi Dilip Sharma au publicat în 1984 în British Medical Journal un articol în care demonstrau că incidenţa crimelor era mult mai mare în zilele premergătoare nopţilor cu lună plină (graficul de deasupra le aparţine). Aceştia şi-au bazat munca pe analizarea unor rapoarte ale poliţiei care se întindeau pe o perioadă de patru ani, fiind alese din trei localităţi: una rurală, una urbană şi una industrială. Se pare că otrăvirile erau deosebit de populare în zilele premergătoare nopţilor cu lună plină, însă numărul tuturor tipurilor de delicte a crescut semnificativ. Câţiva ani mai târziu, ei au publicat în acelaşi jurnal un alt articol despre creşterea numărului de atacuri ale animalelor în zilele premergătoare nopţilor cu lună plină.
Thakur şi Sharma dau vina pe „mareele umane” pentru această creştere a numărului delictelor. Ei cred că luna plină exercită o presiune mai mare asupra fluidelor corporale, perturbându-ne procesele biologice. Această afirmaţie poate suna puţin ciudat, însă statisticile lor rămân intrigante. Şi mai există şi alţi cercetători care iau în serios această corelaţie între ciclurile lunii şi delicte.
Poliţia britanică din Brighton a decis anul trecut să crească numărul agenţilor care patrulează în nopţile cu lună plină, întrucât cercetarea lor a evidenţiat o legătură puternică între acestea şi infracţiunile violente (şi ziua de salariu a cauzat o creştere a numărului delictelor). Conform BBC:
„În 1998, un studiu psihologic de trei luni realizat asupra a 1200 de deţinuţi de la închisoarea Armley din Leeds a evidenţiat o creştere a numărului incidentelor violente în ziua dinainte şi de după nopţile cu lună plină.”
Companiile de asigurări au realizat şi ele studii care sugerează că există o corelaţie între accidente şi luna plină. În 2003, Bloomberg raporta:
„Rata accidentelor auto creşte în medie cu 14% în timpul nopţilor cu lună plină în comparaţie cu nopţile cu lună nouă, conform unui studiu cuprinzând 3 milioane de poliţe auto ale Grupului de Asigurări Churchill din Marea Britanie.”
Dar psihologul Ivan Kelly, cercetător la Universitatea Saskatchewan din Canada, susţine că această idee este o prostie. El a analizat aproape 50 de studii ştiinţifice tratând relaţia dintre luna plină şi schimbările comportamentului uman şi nu a găsit nimic altceva decât nişte cercetări îndoielnice, precum şi o tendinţă de a confunda corelaţia şi cauzalitatea. El a declarat pentru National Geographic:
„Studiile nu sunt concludente. Pentru fiecare studiu pozitiv există şi unul negativ. Jurnaliştii acordă prea multă atenţie găsirii ştirilor senzaţionale sau care sprijină rezultate interesante. Prin urmare, [ei] ignoră descoperirile studiilor şi tind să prefere poveşti sau anecdote spuse de poliţişti şi asistente medicale.”
Celebrul psihiatru Glenn Wilson a sugerat că oamenii pot avea un comportament diferit în timpul lunii pline, dar că acest fapt nu se datorează vreunei aiureli legate de „mareele umane”:
„Există motive serioase pentru care să credem că personalităţile chiar se schimbă în preajma momentului de lună plină, nu din cauza vreunei forţe astronomice, ci din cauză că aceasta creează condiţiile de lumină optime pentru a ne simţi lipsiţi de griji şi neastâmpăraţi.”
Deci dacă te simţi ceva mai neastâmpărat la noapte, e posibil să fie lună plină. Sau s-ar putea să fie doar din cauză că ai citit nişte articole senzaţionale despre modul în care luna plină afectează comportamentul oamenilor.
Textul de mai sus este traducerea articolului http://io9.com/5086250/does-the-full-moon-really-make-people-crazy?tag=madscience.
Traducere: Ana Cristina Dumitrache
