Noul sistem internațional de unități (SI) a intrat în vigoare pe 20 mai 2019. Iată cum sunt definite unitățile fundamentale și valorile constantelor universale prin care se definesc

Sistemul internațional de unități (SI) a fost adoptat în 1960 în cadrul unei conferințe a Organizației Internaționale a Convenției Metrului. Ultima revizie a SI a intrat în vigoare pe 20 mai 2019.
Patru dintre cele şapte unităţi fundamentale ale SI, kilogramul, amperul, kelvinul şi molul, au fost redefinite prin stabilirea unei valori numerice fixe pentru constanta lui Planck (h), sarcina electrică (e), constanta Boltzman (k) şi numărul lui Avogadro (NA); secunda (s), metrul (m) şi candela (cd) erau deja definite pe baza unor constante, aşa că au suferit doar corecţii. Iată care sunt noile definiții ale unităților fundamentale din SI.
Decizia comunității științifice internaționale cu privire la revizia sistemului internațional de unități, luată în noiembrie 2018 (dar cu aplicare din mai 2019), a prevăzut utilizarea, în definirea unităților fundamentale, a unui set de 7 constante.
Iată cele șapte constante:
1. frecvența care corespunde tranziției între cele două niveluri hiperfine ale stării fundamentale a atomului de Cesiu 133; ∆νCs = 9.192.631.770 Hz
2. viteza luminii în vid; c = 299.792.458 m/s
3. constanta lui Planck; h = 6,62607015 × 10−34 J⋅s
4. sarcina electrică; e = 1,602176634 × 10−19 C
5. constanta Boltzman; k = 1,380649 × 10−23 J/K
6. constanta lui Avogadro; NA = 6,02214076 × 1023 mol−1
7. intensitatea luminoasă a unei surse ce emite o radiație monocromatică cu frecvența 540 × 1012 Hz; Kcd = 683 lm/W
Sistemul Internațional conține 7 unități fundamentale și o serie de unități derivate.

Unităţile SI puse în relaţie între ele şi cu acele constante care le definesc
UNITĂȚI SI FUNDAMENTALE
• Cantitatea măsurată: TIMPUL
→ SECUNDA (simbol: s) este definită în funcție de o valoarea numerică fixă a frecvenței atomului de Cesiu (frecvența tranziției între cele doua niveluri hiperfine ale stării fundamentale a atomului de Cesiu 133), ∆νCs, valoare stabilită a fi 9.192.631.770 atunci când este exprimată în Hz, care este egal cu s-1.
Definiţia implică relaţia: ∆νCs, = 9.192.631.770 Hz , de unde rezultă

• Cantitatea măsurată: LUNGIMEA
→ METRUL (simbol: m) este definit în funcție de valoarea numerică fixă a vitezei luminii în vid, valoare stabilită a fi 299.792.458 atunci când este exprimată în m⋅s-1, secunda fiind definită în funcție de ∆νCs.
Definiţia implică relaţia: c = 299.792.458 m⋅s-1 , de unde rezultă

• Cantitatea măsurată: MASA
→ KILOGRAMUL (simbol: kg) este definit în funcție de valoarea numerică fixă a constantei lui Planck, h, valoare stabilită a fi 6,62607015 ×10−34 atunci când este exprimată în J⋅s, care este egal cu kg⋅m2⋅s-1, unde metrul și secunda sunt definite în funcție de c și ∆νCs.
Definiţia implică relaţia: h = 6,62607015 ×10−34 kg⋅m2⋅s-1 , de unde rezultă

• Cantitatea măsurată: CURENTUL ELECTRIC
→ AMPERUL (simbol: A) este definit în funcție de o valoare numerică fixă a sarcinii electrice, e, valoare stabilită a fi 1,602176634 ×10−19 atunci când este exprimată în C, care este egal cu A⋅s, unde secunda este definită în funcție de ∆νCs.
Definiţia implică relaţia: e = 1,602176634 ×10−19 A⋅s , de unde rezultă

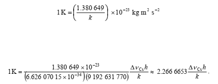
• Cantitatea măsurată: TEMPERATURA TERMODINAMICĂ
→ KELVINUL (simbol: K) este definit în funcție de o valoare numerică fixă a constantei Boltzmann k, valoare stabilită a fi 1,380649 ×10−23 atunci când este exprimată în J⋅K-1, care este egal cu kg⋅m2⋅s-2⋅K-1, unde kg, metrul și secunda sunt definite în funcție de h, c and ∆νCs.
Definiţia implică relaţia: k = 1,380649 ×10−23 kg⋅m2⋅s-2⋅K-1 , de unde rezultă

• Cantitatea măsurată: CANTITATEA DE SUBSTANȚĂ
→ MOLUL (simbol: mol) conține exact 6,02214076 × 1023 entități elementare. Acest număr reprezintă valoarea numerică fixă a constantei lui Avogadro, NA, atunci când este exprimată în unitatea mol-1 și este numită numărul lui Avogadro.
Definiţia implică relaţia: NA = 6,02214076 × 1023 mol-1 , de unde rezultă

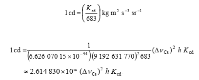
• Cantitatea măsurată: INTENSITATEA LUMINOASĂ ÎNTR-O DIRECȚIE DATĂ
→ CANDELA (simbol: cd) este definită în funcție de valoarea numerică fixă a intensității luminoase a unei surse ce emite o radiație monocromatică cu frecvența 540 × 1012 Hz, Kcd, valoare stabilită a fi 683 atunci când este exprimată în lm⋅W-1, care este egal cu cd⋅sr⋅W-1 ori cu cd⋅sr⋅kg-1⋅m-2⋅s3, unde kg, metrul și secunda sunt definite în funcție de h, c și ∆νCs.
Definiţia implică relaţia: Kcd = 683 cd⋅sr⋅kg-1⋅m-2⋅s3 , de unde rezultă

Bibliografie: BIPM
