
Acesta este un desen schematic al configuraţiei experimentale ce a fost utilizată pentru a măsura valoarea forţei Casimir dintre o sferă placată cu aur şi un grilaj aflat la o scară nanometrică
Credit: Ricardo Decca, Ph.D.
O echipă de cercetare care a inclus un profesor de fizică din cadrul Indiana University-Purdue University Indianapolis (IUPUI) a măsurat forţa Casimir, un fenomen cuantic fundamental ce apare între două corpuri neutre din punct de vedere electric şi care se află în vid, obţinând o valoare mult mai mică faţă de măsurătorile anterioare.
Timp de mai bine de 60 de ani oamenii de ştiinţă au studiat interacţiunea electromagnetică specifică dintre două obiecte neutre din punct de vedere electric. Efectul Casimir, un subiect permanent de studiu din fizica cuantică, se referă la o forţă fizică inevitabilă care apare între obiecte chiar şi atunci când acestea sunt plasate într-un mediu lipsit de orice forţe exterioare.
Acest studiu recent a fost publicat online în data de 27 septembrie în Nature Communications şi el marchează un nou punct de referinţă în ceea ce priveşte măsurarea standard a efectului Casimir cunoscut de către oamenii de ştiinţă. Experimentul a folosit plăci metalice nanostructurate (microstriaţii) pentru a reduce intensitatea forţei către o valoare mult mai mică decât a fost vreodată măsurată, a spus Ricardo Decca, Ph.D., profesor de fizică la IUPUI.
„Aceste rezultate se bazează pe experienţa noastră în ceea ce priveşte măsurarea efectul Casimir. La IUPUI, avem cele mai precise măsurători ale acestei forte", a spus Decca, unul dintre cei nouă coautori ai studiului. El este, de asemenea, directorul de program în cadrul Department of Physics al IUPUI şi director al Nanoscale Imaging Center.
„Pe baza cunoştinţelor anterioare, intensitatea forţei de atracţie dintre corpurile de probă care a fost măsurată nu ar fi trebuit să fie atât de scăzută. A existat o atracţie ce a fost măsurată, dar nu aproape de nivelul de intensitate care a fost măsurat în mod obişnuit", a spus Decca.

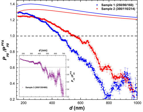
Datele experimentale, indicate prin culorile roşu şi albastru, arată o abatere evidentă faţă de valoarea presiunii obişnuite din cadrul unui experiment clasic de măsurare a efectului Casimir. Variaţiile măsurate ale valorilor experimentale provin în urma operaţiei de mediere. Rezultatele sunt caracteristice pentru corpuri de probă care au fost acoperite cu aur prin pulverizare
Credit: Ricardo Decca, Ph.D.
El a comparat experimentul cu faptul de a „merge la pescuit şi a prinde un peşte pe care nimeni, niciodată, nu s-a aşteptat să fie acolo".
Ceilalţi coautori ai studiului au fost Vladimir A. Aksyuk, Ph.D., Naţional Institute of Standards and Technology (NIST); Paul S. Davids, Ph.D., Sandia Naţional Laboratories; Diego A.R. Dalvit, Ph.D., Los Alamos Naţional Laboratory; Francesco Intravaia, Ph.D., Los Alamos Naţional Laboratory; Stephan Koev, Ph.D., NIST; Woong Jung, Ph.D., Argonne Naţional Laboratory; Daniel López, Ph.D., Argonne Naţional Laboratory; A. Alec Talin, Ph.D., NIST.
Punctul de vedere al fizicienilor diferă asupra presupunerii dacă s-ar putea obţine vreodată o forţă de respingere (o inversare de direcţie a forţei Casimir) în loc de atracţia obişnuită. Cu toate acestea, studiul recent ar putea schimba modul în care oamenii de ştiinţă înţeleg electromagnetismul şi ar putea conduce la obţinerea unor suprafeţe cu o forţă de frecare mai mică.
Reducerea forţei de atracţie a fost măsurată utilizând o sferă acoperită cu metal ce a fost ataşată la un oscilator montat deasupra a doi electrozi. Un grilaj metalic aflat la o scară nanometrică a fost ataşat la o fibră optică şi ca urmare a interacţiunii ce a avut loc între sferă şi grilaj acestea s-au apropiat una de alta. A se vedea figura de mai sus.
Experimentul a arătat că presiunea datorată efectului Casimir s-a redus cu mai mult de două ori faţă de nivelul aşteptat atunci când sfera şi suprafaţa având formă de grilaj au fost separate una faţă de alta la mai mult de 500 de nanometri.
Deşi au fost entuziasmaţi de rezultatele obţinute până în prezent, echipa de cercetare a remarcat în articolul publicat că mai sunt necesare analize şi studii. Cu toate acestea, rezultatele obţinute deschid noi perspective în studiul unui fenomen care este dezbătut frecvent şi care ar putea conduce la o activitate ştiinţifică mai intensă în acest domeniu de cercetare.
Traducere de Cristian-George Podariu după casimir-lowest.html
